
A synthetic reflection seismic section. Trace display modes (variable-area, wiggle, variable intensity), time reduction, and many plotting options (lines, fills, palettes) are controllable from the Property manus (left). The display also allows interactive picking of times and extraction of amplitudes. Note that the synthetics were also generated in the IGeoS package.

A line and cross-line in a 3D seismic dataset.

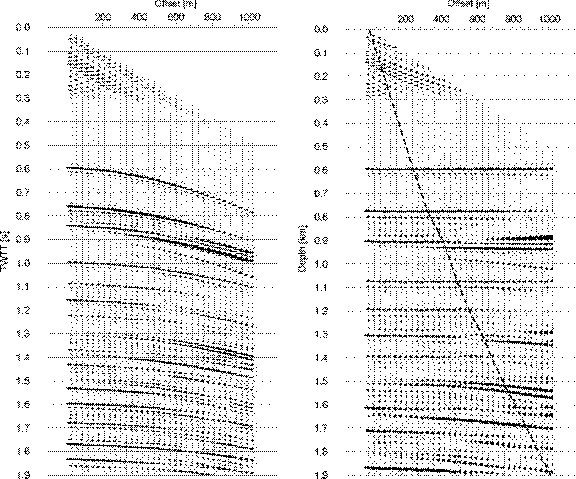
PostScript plot of a synthetic CMP seismic gather before (left) and after (right) NMO correction. The dashed line shows points of constant ray parameter. The synthetics and ray-parameter modeling also performed in the IGeoS package.
Back to SIA